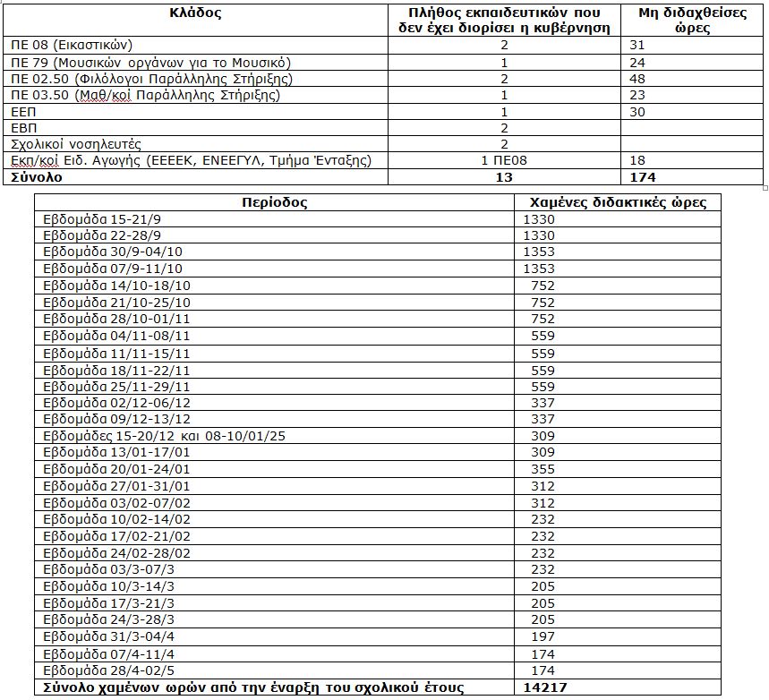
ΕΛΜΕΖ: Ξεπέρασαν τις 14.000 οι χαμένες ώρες στα Γυμνάσια και τα Λύκεια της Ζακύνθου
Το ΔΣ της ΕΛΜΕ Ζακύνθου ενημερώνει τους συναδέλφους, τους μαθητές και τους γονείς για το σύνολο των κενών μέχρι και τις 02/5 στα σχολεία της Δευτεροβάθμιας Ζακύνθου:

Λιγότερο από ένα μήνα από το τέλος της χρονιάς, τα σχολεία της Ζακύνθου εξακολουθούν να λειτουργούν με κενά. Το φαινόμενο αυτό αποτελεί απόδειξη της αδιαφορίας της κυβέρνησης και του ΥΠΑΙΘΑ για πλήρη λειτουργία των σχολείων και ότι στόχος της δεν είναι να καλυφθούν τα κενά, αλλά να προχωρήσει ακόμα περισσότερο η απαξίωση του δημόσιου σχολείου και η κατηγοριοποίησή του, μέσω της μη κάλυψης κενών και της υποχρηματοδότησης.
Το ΔΣ της ΕΛΜΕΖ θα εξακολουθήσει να αποκαλύπτει τα συνειδητά ψεύδη του ΥΠΑΙΘΑ και της Διοίκησης, αναδεικνύοντας την πολιτική της αδιοριστίας, της υποχρηματοδότησης και της «αξιολόγησης» που εφαρμόζουν και τα αποτελέσματά τους.
Το ΔΣ