«Στις 13467 οι χαμένες ώρες από την αρχή της χρονιάς στη ΔΔΕ Ζακύνθου»
«Ευθύνες του ΥΠΑΙΘΑ για τη μη κάλυψη των κενών και της Διοίκησης για συγκάλυψη της αλήθειας»
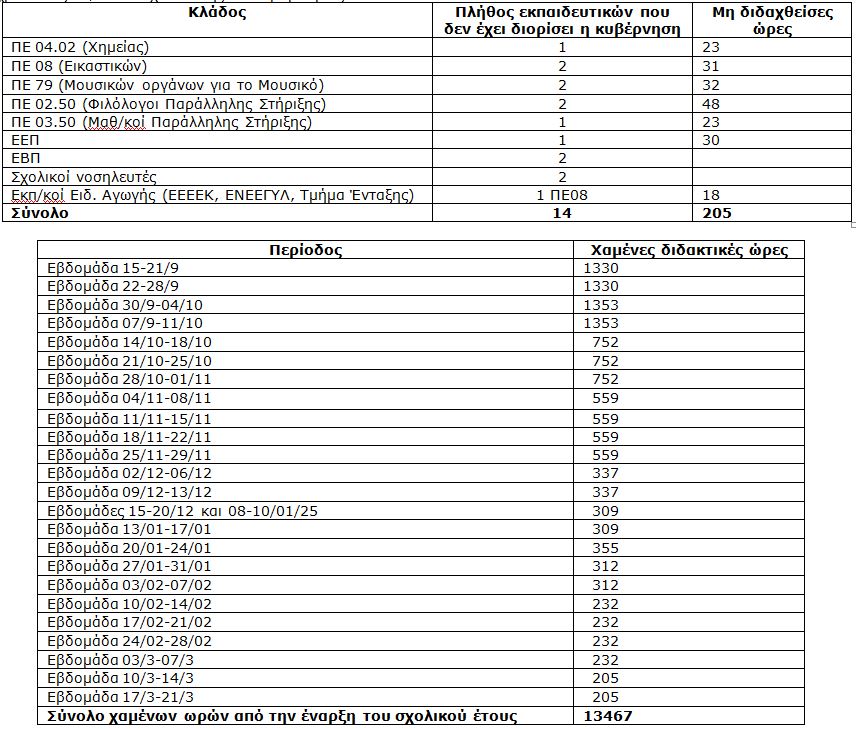
Το ΔΣ της ΕΛΜΕ Ζακύνθου ενημερώνει τους συναδέλφους, τους μαθητές και τους γονείς για το σύνολο των κενών μέχρι και τις 21/3 στα σχολεία της Δευτεροβάθμιας Ζακύνθου:

Παρά τις φιλότιμες προσπάθειες της Διοίκησης να συγκαλύψει την αλήθεια ως προς τα κενά, η πραγματικότητα τη διαψεύδει. Έτσι, παρά τις περί του αντιθέτου διαβεβαιώσεις της, αυτή τη στιγμή χάνονται ώρες
· Χημείας στο 1ο ΓΕΛ και το Μουσικό Σχολείο (10 και 14 αντίστοιχα)
· Εικαστικών στο 2ο Γυμνάσιο, 3ο Γυμνάσιο, Μουσικό και Γυμνάσιο ΛΤ Βολιμών (12, 9, 8 και 3 ώρες αντίστοιχα), όπου οι μαθητές δεν έχουν διδαχτεί το μάθημα για ούτε μία ώρα από την αρχή της χρονιάς
· Εικαστικών Ειδικής Αγωγής στο ΕΝΕΕΓΥΛ και στο ΕΕΕΕΚ, όπου οι μαθητές δεν έχουν διδαχτεί το αντικείμενο ούτε για μία ώρα από την αρχή της χρονιάς
· Μηχανολόγος Ειδικής Αγωγής στο ΕΝΕΕΓΥΛ
· Φιλολόγων Παράλληλης Στήριξης που απουσιάζουν εν μέρει ή πλήρως από τους μαθητές που διεγνωσμένα τους έχουν ανάγκη στα εξής σχολεία: Μουσικό, 3ο Γυμνάσιο, Γυμνάσιο Βανάτου, Γυμνάσιο Μαχαιράδου
· Μαθηματικών Παράλληλης Στήριξης που απουσιάζουν εν μέρει ή πλήρως από τους μαθητές που διεγνωσμένα τους έχουν ανάγκη στα εξής σχολεία: Μουσικό, Γυμνάσιο Μαχαιράδου
· Ψυχολόγος, Λογοθεραπευτής, Κοινωνικός Λειτουργός στο ΕΝΕΕΓΥΛ
· 2 σχολικοί νοσηλευτές στα Γυμνάσια Μαχαιράδου και Κατασταρίου, τους οποίους στερούνται μαθητές που τους δικαιούνται για λόγους υγείας
· Μουσικός ειδικότητας μαντολίνου στο Μουσικό Σχολείο
Η γνωστή και «χαλασμένη» πλέον καραμέλα του ΥΠΑΙΘΑ και των στελεχών εκπαίδευσης ότι «ευθύνονται οι αναπληρωτές που δεν αποδέχονται πρόσληψη» είναι τουλάχιστον υποκριτική. Ο πενιχρός μισθός των αναπληρωτών σε συνδυασμό με το γεγονός ότι στερούνται ακόμα και το κουτσουρεμένο επίδομα ανεργίας αποτελούν την απάντηση στην καραμέλα τους.
Προκαλούμε και προσκαλούμε την πολιτική ηγεσία του ΥΠΑΙΘΑ και τα κατά τόπους στελέχη εκπαίδευσης να ζήσουν με μισθό 737 ευρώ (τόσος είναι ο εισαγωγικός μισθός του νεοδιόριστου) ή 951 ευρώ (τόσος είναι ο εισαγωγικός μισθός αναπληρωτή) σε περιοχές, όπως η Ζάκυνθος, που τα νοίκια ξεκινούν από 400 ευρώ, στην καλύτερη περίπτωση.
Ας μας πουν αν μπορούν οι ίδιοι να ζήσουν με τέτοιους μισθούς και μετά ας κάνουν κήρυγμα στους συναδέλφους που δεν αποδέχονται πρόσληψη ή παραιτούνται.
Υπενθυμίζουμε ότι το ΔΣ της ΕΛΜΕΖ ήδη από την προηγούμενη σχολική χρονιά είχε καλέσει τη ΔΔΕ να δημοσιοποιεί τα κενά ανά τακτά χρονικά διαστήματα, ώστε ο ζακυνθινός λαός να έχει πλήρη εικόνα. Δεδομένης της άρνησης της ΔΔΕ Ζακύνθου, το καθήκον αυτό απέναντι στους μαθητές, τους γονείς και τους εκπαιδευτικούς αντικειμενικά έπεφτε στους ώμους της ΕΛΜΕΖ.
Καλούμε τη Διοίκηση να τοποθετείται δημοσίως με βάση τα αντικειμενικά δεδομένα και όχι με βάση την κεντρική κατεύθυνση του ΥΠΑΙΘΑ και της κυβέρνησης για διαστρέβλωση της πραγματικότητας. Άλλωστε από το έγκλημα των Τεμπών τόσο η κυβέρνηση όσο και τα τοπικά στελέχη εκπαίδευσης θα έπρεπε να έχουν διδαχθεί ότι το ψέμα έχει κοντά ποδάρια και ενίοτε τραγικές συνέπειες.
Υπογραμμίζουμε εξάλλου ότι και στο συγκεκριμένο έγκλημα τα συνδικάτα έλεγαν την αλήθεια, κόντρα στις διαβεβαιώσεις των διάφορων αρμοδίων, οι οποίοι εκ των υστέρων ποιούσαν (ανεπιτυχώς) την νήσσαν χύνοντας κροκοδείλια δάκρυα. Το ίδιο ισχύει και στην περίπτωση των κενών στη ΔΔΕ Ζακύνθου
Το ΔΣ της ΕΛΜΕΖ θα εξακολουθήσει να αποκαλύπτει τα συνειδητά ψεύδη του ΥΠΑΙΘΑ και της Διοίκησης, αναδεικνύοντας την πολιτική της αδιοριστίας, της υποχρηματοδότησης και της «αξιολόγησης» που εφαρμόζουν και τα αποτελέσματά τους.
Το ΔΣ